Table of Links
- Prologue
- Diagrammatic(s) Rules
- Straight-forward Eikonal
- Legacy Bosonization
- Wonton Holography
- Holographic Propagators
- Strange Cuprates
- Stranger Things
- Epilogue
Straight-forward Eikonal
Another approach to the problem of fermions with the interactions (1) was proposed in the small-N limit where there is no fermion back-reaction as any fermionic loops are suppressed. This limit was first addressed in the context of summing over the so-called ’maximally crossed’ diagrams [13]. However, shortly after its first applications it was realized that this method represents a simplified form of the general eikonal approach [14].
The most straightforward (in the geometrical sense as well) eikonal calculation focuses exclusively on the Debye-Waller ’damping factor’ picked up by the fermion’s wave function while the latter is moving down its 3 straight-line semiclassical path. Computing the average < exp(i R drA) > over the bosonic fluctuations with the interaction function D(ω, k) =< AA > given by (1) one obtains

where the exponential ’damping factor’ reads

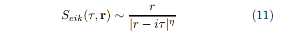
First, neglecting the FS curvature one readily finds the lowest-order eikonal action

whereas for η = 1 the frequency integration produces an additional factor ∼ ln |r − iτ|.
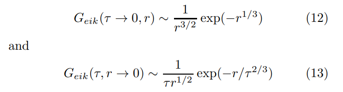
For example, in d = 2 and for η = 2/3 (11) gives rise to the asymptotics

which were obtained in [7, 15–17], barring minor differences (see next section). The expressions (12,13) yield the ’off-FS’ Fourier transform

demonstrates a cusp or even a true singularity, depending on the anomalous exponent η2 (at large N one finds η2 ∼ 1/N, though) [14, 16, 18].
Author:
(1) D. V. Khveshchenko, Department of Physics and Astronomy, University of North Carolina, Chapel Hill, NC 27599.
This paper is
